Flow element used to create a pressure change by accelerating a fluid stream is the venturi tube (Here Differential Pressure based flow meter i.e.Venturi tube is taken as an example for discussion): a pipe purposefully narrowed to create a region of low pressure. As discussed previously, venturi tubes are not the only structure capable of producing a flow-dependent pressure drop. You should keep this in mind as we proceed to derive equations relating flow rate with pressure change: although the venturi tube is the canonical form, the exact same mathematical relationship applies to all flow elements generating a pressure drop by accelerating fluid, including orifice plates, flow nozzles, V-cones, segmental wedges, pipe elbows, pitot tubes, etc.
If the fluid going through the venturi tube is a liquid under relatively low pressure, we may vividly show the pressure at different points in the tube by means of piezometers (Think of a piezometer tube as nothing more than a manometer tube: the greater the fluid pressure at the bottom of the tube, the higher the liquid will rise inside the tube.), which are transparent tubes allowing us to view liquid column heights. The greater the height of liquid column in the piezometer, the greater the pressure at that point in the flowstream:
Như hiển thị của áp kế cột nước (piezometer liquid heights), áp suất tại điểm co ( points 2) là nhỏ nhất, trong khi áp suất tại phần ống không bị co của ống venturi ( point 1 và point 3) là lớn hơn. Kết quả này mặc dù chỉ là theo trực giác nhưng nó lại có cơ sở vật lý chắc chắn theo định luật bảo toàn năng lượng và khối lượng. Nếu chúng ta giả sử không có bất kỳ năng lượng nào được thêm vào (do bơm) hay tổn thất (do ma sát) khi chất lỏng lưu thông trong đường ống, khi đó thì định luật bảo toàn năng lượng chỉ ra năng lượng của chất lỏng tại tất cả các điểm bất kỳ trong đường ống mà chất lỏng thông qua là không đổi. Nếu chúng ta giả định rằng không có bất kỳ lượng chất lỏng nào được thêm và từ đường ống khác hay không có sự rò rỉ nào, khi đó định luật bảo toàn khối lượng chỉ ra lưu lượng chất lỏng luôn không đổi tại tất cả các điểm bất kỳ trong đường ống mà chất lỏng chảy qua.
Chừng nào mật độ chất lỏng là hằng số, vận tốc chất lỏng phải tăng lên khi tiết diện cắt ngang của đường ống giảm như mô tả của định luật liên tục (Law of Continuity):
Sắp sếp lại các biến trong công thức này ta có được kết quả là một công thức tương đương:
phương trình này cho chúng ta biết rằng tỉ số của vận tốc chất lỏng giữa điểm co hẹp ( point 2) và điểm rộng của đường ống ( điểm 1) bằng với tỉ số tiết diện điểm rộng và điểm co hẹp của đường ống. vì vậy nếu tiết diện đường ống gấp 5 lần tiết diện đường ống bị co hẹp thì vận tốc chất lỏng tại điểm co hẹp gấp 5 lần vận tốc tại điểm không bị co hẹp. đơn giản là chỉ cần co hẹp đường ống thì vận tốc chất lỏng sẽ tăng lên.
Như chúng ta đã biết từ những gì được học về năng lượng trong vậy lý tằng động năng tỉ lệ thuận với khối lượng và bình phương vận tốc (Ek = (1/2)mv2). Như những gì mà chúng ta đề cập trước đó thì vận tốc các phân tử chất lỏng tại điểm đường ống bị co sẽ tăng lên. từ đó chúng ta chắc chắn một điều rằng động năng của các phân tử cũng sẽ tăng lên. Tuy nhiên như chúng ta đã biết thì năng lượng tại điểm bất kỳ trong dòng chất lỏng là không đổi bởi không có bất kỳ năng lượng nào được thêm vào hoặc tổn thất khỏi hệ thống. Do đó nếu động năng ở điểm đường ống bị co tăng lên bao nhiêu thì thế năng phải giảm bấy nhiêu để tuân thủ định luật bảo toàn năng lượng.
Thế năng có thể được hiểu như là độ cao so với mặt đất hoặc là như áp suất của hệ thống chất lỏng. Vì ống venturi này được đặt cố định ở một vị trí so với mặt đất nên không thể thay đổi chiều cao để thay đổi thế năng, do đó phải có sự thay đổi về áp suất (P) khi chất lỏng đi qua đoạn đường ống bị co. Định luật bảo toàn năng lượng và khối lượng luôn hướng chúng ta đến kết luật : áp suất chất lỏng phải giảm khi đi quá đoạn đường ống bị co hay họng của ống venturi.
Bảo toàn năng lượng tại các điểm khác nhau trong dòng chất lỏng được thể hiện ngắn gọn trong công thức của Bernoulli như là tổng của độ cao, áp suất, vận tốc :
Ở đây,
z = Chiều cao cột chất lỏng (Height of fluid (from a common reference point, usually ground level)
ρ = Tỷ trọng của chất lỏng (Mass density of fluid)
g = Gia tốc trọng trường (Acceleration of gravity)
v = Vận tốc chất lỏng (Velocity of fluid)
P = Áp suất chất lỏng (Pressure of fluid)
ρ = Tỷ trọng của chất lỏng (Mass density of fluid)
g = Gia tốc trọng trường (Acceleration of gravity)
v = Vận tốc chất lỏng (Velocity of fluid)
P = Áp suất chất lỏng (Pressure of fluid)
Chúng ta sẽ dùng công thức Bernoulli để tìm ra mối quan hệ toán học giữa áp suất và lưu lượng trong một ống venturi (venturi tube) . To simplify our task, we will hold to the following assumptions for our venturi tube system:
- No energy lost or gained in the venturi tube (all energy is conserved)
- No mass lost or gained in the venturi tube (all mass is conserved)
- Chất lỏng không nén được
- Ống Venturi được đặt cố định ( không thay đổi độ cao so với mặt đất
Applying the last two assumptions to Bernoulli’s equation, we see that the “elevation head” term drops out of both sides, since z, ρ, and g are equal at all points in the system:
Now we will algebraically re-arrange this equation to show pressures at points 1 and 2 in terms of velocities at points 1 and 2:Factoring ρ/2 out of the velocity head terms:
The Continuity equation shows us the relationship between velocities v1 and v2 and the areas at those points in the venturi tube, assuming constant density (ρ):
A1v1 = A2v2
Specifically, we need to re-arrange this equation to define v1 in terms of v2 so we may substitute into Bernoulli’s equation:
Performing the algebraic substitution:Distributing the “square” power:
Factoring v22 out of the outer parentheses set:
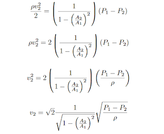
Solving for v2, step by step:
The result shows us how to solve for fluid velocity at the venturi throat (v2) based on a difference of pressure measured between the mouth and the throat (P1 −P2). We are only one step away from a volumetric flow equation here, and that is to convert velocity (v) into flow rate (Q). Velocity is expressed in units of length per time (feet or meters per second or minute), while volumetric flow is expressed in units of volume per time (cubic feet or cubic meters per second or minute). Simply multiplying throat velocity (v2) by throat area (A2) will give us the result we seek:
Mối quan hệ chung giữa lưu lượng/ tiết diện/ vận tốc:
Q = Av
Equation for throat velocity:
Now we have an equation solving for volumetric flow (Q) in terms of pressures and areas:
Please note how many constants we have in this equation. For any given venturi tube, the mouth and throat areas (A1 and A2) will be fixed. This means nearly half the variables found within this rather long equation are actually constant for any given venturi tube, and therefore do not change with pressure, density, or flow rate. Knowing this, we may re-write the equation as a simple proportionality:
To make this a more precise mathematical statement, we may insert a constant of proportionality (k) and once more have a true equation to work with:
There is a quadratic (“square”) relationship between velocity and differential pressure precisely because there is a quadratic relationship between velocity and kinetic energy as all first-quarter physics students learn (Ek = 1/2mv2). This is why ΔP increases with the square of flow rate (Q2) and why we must “square-root” the ΔP signal to obtain a flow measurement. This is also why fluid density is so important in the orifice-plate flow equation. The denser a fluid is, the more work will be required to accelerate it through a constriction, resulting in greater ΔP, all other conditions being equal:
The density (ρ) is assumed as unit. Read the “Facts About Orifice Flow Meters” article for easy understanding the facts.
so the final equation will be :
Generally we use the above simplified equation for all the differential pressure based flow meters like orifice, venturi, flow nozzles, V-cones, segmental wedges, pipe elbows, pitot tubes, etc. which is Flow Directly Proportional to Square Root of ΔP.



















0 nhận xét: